Moderne Methoden der Zellbiologie

VI: Wirkstoff-Screening    (INHALT) butmeth.jpg

Verbesserung von Wirkstoffen Herstellung neuer Substanzen mit kombinatorischer Chemie

Verbesserung von Naturstoffen und synthetischen Verbindungen LOWRES 29 kbyte

Viele Pharmaka sind aus Naturstoffen hervorgegangen, indem - gezielt oder wahllos - Änderungen an der Molekülstruktur vorgenommen wurden, bis eine Substanz mit hoher therapeutischer Wirksamkeit und akzeptablen Nebenwirkungen dabei heraus kam. Bei manchen Naturstoffen waren nur geringe Änderungen nötig. Bei anderen Naturubstanzen diente die Molekülstruktur als Leitstruktur für die Entwicklung neuartiger synthetischer Wirkstoffe. Neben der gezielten Synthese von Molekülen entsprechend einer berechneten Raumstruktur (Wirkstoffdesign) spielt die Herstellung großer Mengen unterschiedlicher Substanzen durch kombinatorische Chemie dabei eine große Rolle.
 
Hier sind vier klassische Beispiele der Verbesserung von Substanzen durch chemische Derivatisierung gezeigt.
Ein Inhaltsstoff der Weidenrinde, das Glycosid Salicin, ist der Vorläufer der Salicylsäure, einem sehr effektiven Entzündungshemmer. Salicylsäure entsteht beim Abbau von Salicin im Körper, und die therapeutische Wirkung von Weidenrindenextrakten ist seit dem Altertum bekannt. Salicylsäure ist allerdings nicht gut verträglich, sie führt zu Magenreizungen und Erbrechen. Felix Hoffmann, ein Chemiker bei Bayer, hat um die Jahrhundertwende entdeckt, das Acetylsalicylsäure besser verträglich und hochwirksam ist - das Aspirin war gefunden.
 
assh.jpg
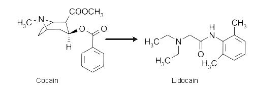
Neben der psychotropen Wirkung von Cocain war im letzten Jahrhundert (vor allem von dem Augenarzt Karl Koller) die lokalanästhetische Wirkung und damit der mögliche Einsatz bei kleinen chirurgischen Eingriffen erkannt worden. Das Cocain-Molekül diente als Leitstruktur für die Entwicklung von Lokalanästhetika wie Lidocain und Mepivacain.
 
cocah.jpg
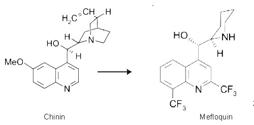
Als Heilmittel gegen Malaria wurde seit Jahrhunderten die Chinarinde eingesetzt. Der wirksame Inhaltsstoff der Chinarinde, das Chinin, wurde 1820 isoliert. Wegen der erheblichen Nebenwirkungen des Chinins wurde lange nach synthetischen Verbindungen gesucht, die als besser verträgliche Malariamittel verwendet werden könnten. Plasmochin, Chloroquin, Mepacrin und Mefloquin entstanden aus dieser Forschung. Beim rechts abgebildeten Mefloquin ist die Nähe zur Chinin-Struktur noch gut zu erkennen.
 
chininh.jpg
Nicht nur Naturstoffe, auch synthetische Verbindungen dienten als Ausgangspunkt für die Entwicklung erfolgreicher Pharmaka. Ein Beispiel ist das Paracetamol, dessen Entwicklung auf die zufällige Entdeckung zurückzuführen ist, daß die Verbindung Acetanilid fiebersenkende Eigenschaften hat.
 
Als besonders fruchtbar erwies sich die Idee, unter den Hunderten von Farbstoff-Verbindungen, die um die Jahrhundertwende von der chemischen Industrie produziert worden waren, nach bioaktiven Substanzen zu suchen. Zu den besonders erfolgreichen Medikamenten, die aus diesen Arbeiten hervorgegangen sind, gehören das Arsphenamin (Salvasan) und das Antibiotikum Sulfachrysoidin.

 
parah.jpg